快速注册
首页
交友指导
交友案例
交友动态
交友资讯
国际交友百科
联系我们
交友案例
交友动态
国际交友案例
交友技巧
热门案例
黄女士的跨国故事:最大的幸福便是有一个白马王子一直默默等着自己
Dora和亿万富豪在美国的生活
马拉松长跑式恋爱以后,我们在丹麦登记结婚了
Jane和亿万富豪在荷兰的幸福生活
跨过爱情的这些坎,4个月我们登记结婚了!(阿里红娘Anna结婚)
戴上大钻戒,走上“人生巅峰”
比利时“王子”对我无微不至的爱(阿里红娘刘女士的海外生活)
惊叹美! 生命的花儿绚烂绽放(47岁的Lily结婚啦!)
热门文章
国外十大婚恋交友app排行榜,想跨国交友的朋友必看!
全国十大婚恋网站排名
恋爱见面3次定律,怎么确定要不要和他交往
五个国际华人婚恋交友网站推荐
2019年国际交友统计曝光跨国交友惊人内幕:女性嫁给老外比男士娶外国老婆数量更多
四川李燕远嫁美国生混血宝宝,这些跨国交友的真实故事可能你还没听过!
西班牙人典型长相,西班牙人的外貌特征
国外最靠谱的婚恋网站盘点:寻找真爱不再难
意大利人标准长相,意大利人外貌特征
3万元就可移民的小国家,低成本移民攻略!
阿里红娘
>
交友案例
>
国际交友案例
中外国际交流--澳洲游,遇见最美的自己,遇见爱(阿里红娘北京Mary与澳洲Gray圆满啦!!!)
时间:2018-04-04 来源:阿里红娘国际交友网 浏览:
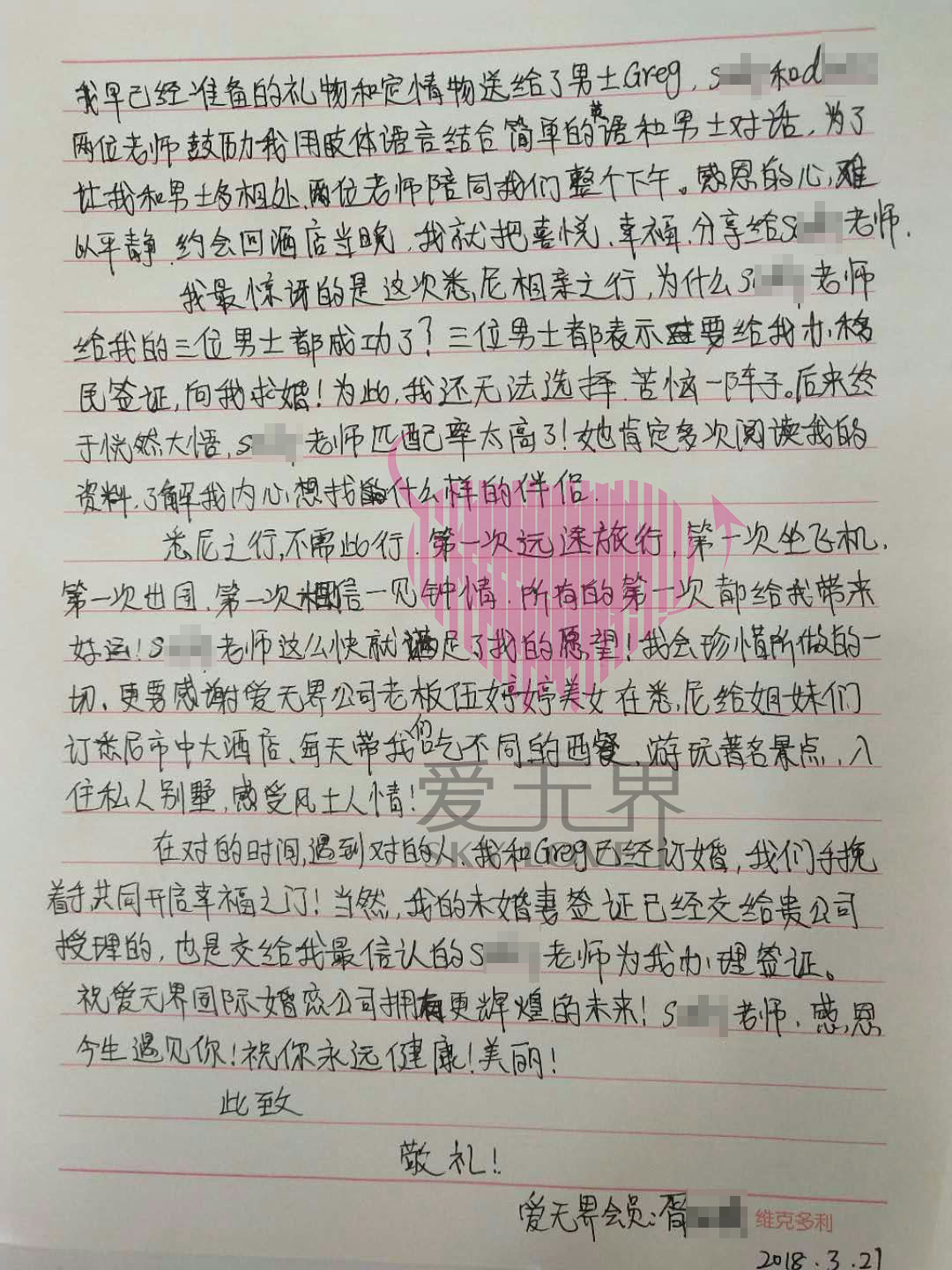
Mary来自北京,48岁,大大咧咧的性格,总是给身边的人带来欢乐。Mary在前一段婚姻中发生过一些不好的经历,以致她在面对感情的时候敏感、多愁,不自信。但是,对爱情的渴望让她说服了自己,走出了这一步。
Mary经过细致的考察和对比后,选择加入
阿里红娘
12月的"海洋之心-仲夏之旅"之澳洲游活动。后来她对
教练
说,吸引她的是阿里红娘这个活动的理念:看世界,交朋友。
入会后,所有准备工作启动,教练匹配资源,推荐了三位来自澳洲悉尼的优质男士给Mary,Gray是其中之一。
今年55岁的Gray,拥有自己的驾校,还是一名生命规划教练。Gray真诚、风趣幽默,在出发前,两人已经数着见面的日子!2017年12月18日,在美丽的凯恩斯,两人一见钟情,用Mary的话说,瞬间就认定了对方都是自己所要找的爱人!
Mary英语基础差,一直害怕跟西方
男士
交流,在出发前都担心得掉眼泪,但是去到了
悉尼
,见到了几位男士,尤其是与Gray的相处太融洽了,她完全放下了顾虑,在姐妹们的分享会上,Mary站出来主动分享她与男士见面交流情况,相处的技巧,如何大胆说表达,英语中文一起来!Oh my god!!!姐妹们都给你打call,教练给你点赞啊,Mary!
Mary见到Gray,一见钟情
Mary与Gray在悉尼见面动态详情:
https://www.alihongniang.com/case/detailed_702.html
Mary回国后,Gray每天都与Mary微信和视频,他思念Mary,他想永远和她在一起,他每天都深情地对Mary说,你就是我心中的妻子,我的妻子在中国,我在澳洲,我希望你快点过来,来到我身边!
爱的召唤已经跨越了距离的阻隔,2018年2月10日,中国新年,Mary再次飞往悉尼!
这一次悉尼相聚,他们更加恩爱!看看小编整理的图片!
Gray白天上班,Mary在家,洗碗有洗碗机、洗衣服有洗衣机和烘干机、扫地有扫地机器人,那做什么呢?好吧,看看书,叠叠衣服,做美味中餐,接孩子放学!Gray下班回家会与Mary一起收拾,周末是家庭日,Gray带上一家人出外游玩,生活如此悠闲,很多很多时间,慢悠悠地和爱人家人享受时间和风景!
Mary在向教练晒澳洲的生活,用的称呼是"我们家",哈哈,好虐!
Mary与Gray第二次在悉尼见面详情:
https://www.alihongniang.com/case/detailed_725.html
Mary在澳洲的甜蜜生活的分享:
这是情人节男士送给她的花,现在女士虽然回国了,男士看到花就会想起她,每天对这盆花呵护备至,细心照料。
一家人一起去公园的照片
一家人在家里的照片
开车出去玩啦
Gray已经向Mary求婚,而且早早为Mary准备好所有办理未婚妻签证需要的资料,这次Mary回国,未婚妻签证全权委托阿里红娘办理!Mary与Gray将在2018年6月举办婚礼,从一见钟情到收获爱情,祝福你,Mary,有情人终成眷属,没有比这更美妙的人生了!
Mary写给阿里红娘的感谢信:
阿里红娘寄语:在过去的一年里,阿里红娘举办了四场"中外国际交流--澳洲游"活动,姐妹们在这样一个身心放松旅程中开拓眼界,接纳朋友,体验真诚、收获爱情,美好的结果是有目共睹的。
最近网上热文《什么都不信,可能是见识太少》里面提到的一段文送给大家:小时候读辛波斯的诗,觉得无比浪漫"他们彼此深信:是瞬间迸发的热情让他们相遇。"之所以觉得浪漫,是因为他们相信偶然,相信邂逅。
看世界,交朋友,遇见爱!相信,就有可能!
上一个:
余生有你,一切足矣(来自南宁小爱姐嫁给澳洲的Leith啦!)
下一个:
到墨尔本4年,袁女士回到“娘家”分享国外的生活情况